学院新闻随着V2X通信技术的出现,智能汽车得到了广泛的推广。联网车辆可以使用V2X技术为驾驶员提供全面的道路交通规划。与此同时,联网车辆需要在开放的网络环境中访问交通数据。这使得交通数据容易受到网络攻击。
我院彭光含教授、谭惠丽副教授团队,与桂林电子科技大学赵红专副教授合作,针对V2X环境下车联网在双车道驾驶环境中换道时交通信息遭受网络攻击的问题,提出车辆换道过程中换道流入时遭受网络攻击的双车道格子流体力学模型。该成果以“Jamming transition in two-lane lattice model integrating the deception attacks on influx during the lane-changing process under vehicle to everything environment”发表于Chaos, Solitons and Fractals (中科院SCI分区一区top期刊,影响因子7.8)。我校为论文完成第一单位,第一作者和通信作者为彭光含教授,第二作者为我校毕业研究生罗春莉同学。
研究内容:
在实际的双车道驾驶环境中,由于网络具有主动攻击性,因此网络会对车道上的车流信息进行恶意篡改。于是,当出现网络攻击后会产生一个虚假的换道车流信息,而网络攻击提供的虚假信息具有一定的迷惑性,使得驾驶员不易察觉与识别,进而影响驾驶员的换道意图,最终导致交通系统紊乱。
图1虚假流入换道率信息的换道过程
在V2X环境中,处于开放网络环境下的交通数据很容易受到恶意的网络攻击。车辆在换道过程中,网络恶意攻击会向联网车辆提供具有误导性的虚假换道率信息,这对驾驶员的换道行为产生重大影响。如图1所示,在V2X环境下,当车辆从2车道上第格换道至1车道上第格时,由于网络具有主动攻击性,网络攻击将1车道上的第格和第格的密度差作为一个虚假的流入换道率信息,因而影响了2车道上第格的车辆换道至1车道上第格的实际换道率。因此,提出如下网络攻击(deception attack on the influx effect,DAIE model) 模型:

其中,表示虚假攻击的强度系数。当表示没有虚假攻击。当时,表明在V2X环境下,由于产生虚假攻击。值越大,表示虚假攻击越强。表示用于抵制网络攻击算法(简称DAE)的强度系数。
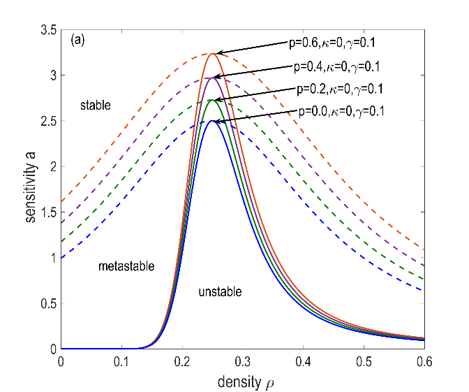
线性稳定性和非线性分析结果如图2所示。随着值的增大,中性曲线和共存曲线都随着值的增大而上升,系统的稳定区域减小,表明虚假攻击会降低系统的稳定性。但随着值的增加,中性曲线和共存曲线下降,系统的稳定区域扩大,表明DAE能够抵抗虚假攻击的影响。因此,在V2X环境下,在换道过程中虚假的流入换道率攻击会降低系统的稳定性。相反,DAE可以有效地减轻虚假攻击的负面影响。

图2 DAIE模型的中性曲线(实线)和共存曲线(虚线)
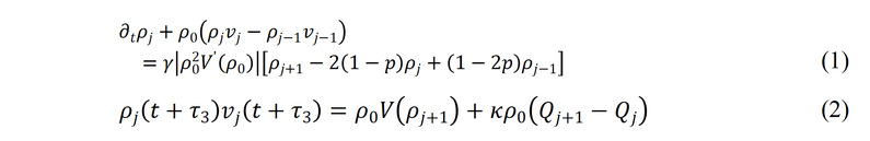
密度演化数值模拟结果如图3所示。密度分布波动幅度随值的增大而增大,随着值的上升,密度分布波动幅度逐渐减小。在DAIE模型中,DAIE虚假攻击会恶化换道过程,最终导致交通系统的混乱。而补偿算法DAE可以有效地缓解由于DAIE导致的交通系统的无序性,即DAE能够抵消换道过程中的不良影响。

图3 t=10300时间步长的密度分布:(a)在DAIE作用下,(b) DAE抑制DAIE
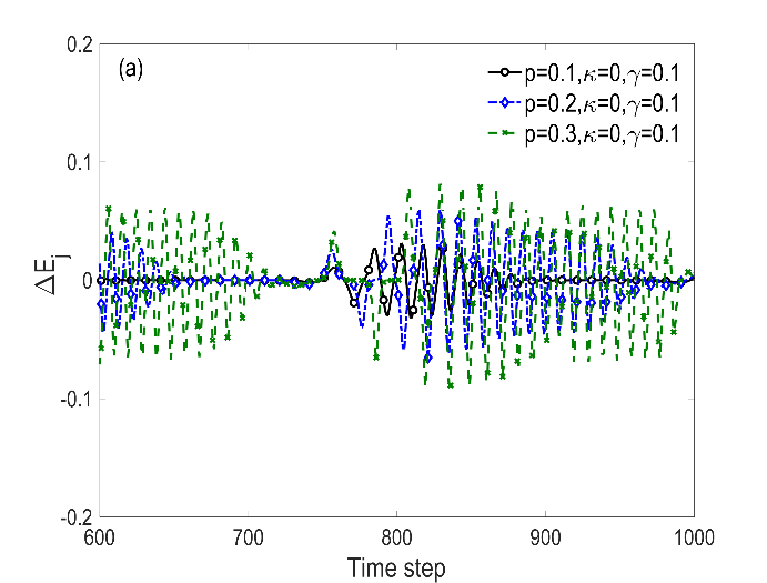
图4表示DAIE模型的迟滞环。显然,迟滞环的面积随p值的增大而增大,说明DAIE会干扰换道过程中交通稳定的情况。迟滞环的面积随着值的增大,迟滞环的面积逐渐缩小,说明DAE可以缓解虚假攻击对交通稳定性的负面影响。

图4 系统迟滞环

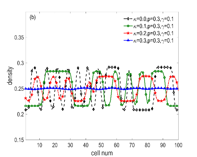
图5能耗
图5表示DAIE模型中能耗演化。能耗的波动幅度随着值的增大而增大,由此得出DAIE会增加车辆在换道时的能耗。随着值的增加,能耗波动振幅减小。因此,尽管DAIE加剧了换道过程的不稳定性和能源消耗,但模拟结果证明,DAE可以有效抵抗DAIE的负面影响。
该研究受到了国家自然科学基金和广西自然科学基金的资助。
原文链接:https://doi.org/10.1016/j.chaos.2023.114176